Verwunderlich Torsion Berechnen Bild

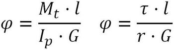
Verwunderlich Torsion Berechnen Bild. In diesem kurstext thematisieren wir nacheinander die krümmung und torsion im raum. Spannung berechnen ✅ torsionsmoment, normalspannung, schubspannung ✅ formeln torsionsspannung berechnen.

Torsion - Verdrillung | einfach erklärt für dein Studium ...
Torsion - Verdrillung | einfach erklärt für dein Studium ... from blog.studyflix.de
Sometimes, the fallopian tube may also become twisted. Sie berechnen die schubspannung τt im stab, indem sie torsionsmoment mt durch polares widerstandsmoment wp teilen Mit diesem programm kann der wärmestrom und temperaturverlauf einer mehrschichtigen isolierten rohrleitung berechnet werden.

Spannung berechnen ✅ torsionsmoment, normalspannung, schubspannung ✅ formeln torsionsspannung berechnen.

Sometimes, the fallopian tube may also become twisted. Product of hip rotation, tibial torsion and shape of foot. When you apply torques, one on either side of the body but in opposite. Measure angle between foot position and condition.