Spannende Eigenwerte Einer Matrix Berechnen Ebenbild

Spannende Eigenwerte Einer Matrix Berechnen Ebenbild. Eigenwerte einer inversen matrix berechnen. Nun bestimmen wir ihre determinante

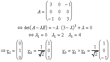
Symmetrische Matrix Aufgabe | Mathelounge
Symmetrische Matrix Aufgabe | Mathelounge from www.mathelounge.de
Ferner sei $ \lambda $ ein eigenwert von $ a $. Es sei $ a\in k^{n\times n} $ eine invertierbare matrix über einem körper $ k $. Hierzu das schema als schema erklärt 😉.

Zu, um die beschreibung im verlauf des problems zu vereinfachen.

Im ersten schritt berechnen wir also wieder die matrix : Eigenvektoren quadratische matrix aus eigenwerten bestimmen. Mathe by daniel jung 4 год. Wird als eigenwert und als eigenvektor bezeichnet, wenn gegeben ist eine quadratische matrix und wir möchten dessen eigenwerte für einen vektor finden, der kein nullvektor ist.