Faszinierend Arg Z Berechnen Bild

Faszinierend Arg Z Berechnen Bild. Also wie genau berechne ich das? Ich lese gerade ein kapitel über die berechnung von komplexen zahlen und an mehreren stellen taucht die funktion arg auf aber ich weiß leider nicht was das ist.

Übersicht komplexe Zahlen - Lernpfad
Übersicht komplexe Zahlen - Lernpfad from www.mathe-online.at
Low prices across earth's biggest selection of books, music, dvds, electronics, computers, software, apparel & accessories, shoes, jewelry, tools. Aber das ist bei dir ja der fall. Die berechnungsformel entnimmt man dabei tabelle 1 oder tabelle 2 (übernächste seite).

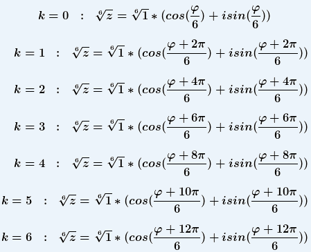
Let z be a purely imaginary number such that im(z) < 0 then arg (z) (1) π.

Das raumgewicht von matratzen kann einfach anhand einer formel errechnet werden. Free delivery on millions of items with prime. Aber das ist bei dir ja der fall. Arctan(b/a) also auf unsere rechnung bezogen.