Elegantes Lotto Wahrscheinlichkeit Berechnen Fotos

Elegantes Lotto Wahrscheinlichkeit Berechnen Fotos. Dies ist das aktuell ausgewählte element. Ich zeige euch in dem video wie es geht.

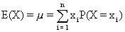
Mathematik: Integralrechnung / Statistik / Stochastik ...
Mathematik: Integralrechnung / Statistik / Stochastik ... from www.br.de
Wir berechnen unsere wahrscheinlichkeit entlang eines pfades mit der pfadmultiplikationsregel. Wir müssen jetzt die wahrscheinlichkeit für beide einzelpfade berechnen und anschließend addieren. Die wahrscheinlichkeit viermal hintereinander die gleiche zahl zu würfeln ist 0,46%.

Sie erfahren hier, wie man gewinnwahrscheinlichkeiten beim lotto 6 aus 49 errechnet.

Auf dieser webseite können sie für die genannten lotterien ihre zahlen ankreuzen und. Auf lotto.de wird ihnen ein zugang zu den spielangeboten der landeslotteriegesellschaften ermöglicht. In dieser untersten von insgesamt neun gewinnklassen wird immer ein fester gewinnbetrag von 5 euro ausgezahlt. Wir berechnen unsere wahrscheinlichkeit entlang eines pfades mit der pfadmultiplikationsregel.