
Wunderbar Schaltplan Pumpkin Autoradio Bild. Dirk heimbürger | aktualisiert am 13.10.2020. Pumpkin radio 10 zoll android 10.0 universal autoradio 1 din mit drehbarem bildschirm navi bluetooth, unterstützt rückfahrkamera android auto carplay dab+ wifi. .bei pumpkin 7.1 autoradio im pumpkin autoradio forum im bereich android autoradio forum.
Schaltplan Autoradio Anschließen from www.selfmadehifi.de Subito a casa e in tutta sicurezza con ebay! Pumpkin android 8.0 autoradio radio für ford focus mondeo mit navi unterstützt bluetooth dab + usb cd dvd nur mit einem schaltplan und fachwissen musste ich die kabel richtig anbringen.
Wunderbar Schematic Drawing Software Online Fotos

Wunderbar Schematic Drawing Software Online Fotos. This open source project is aimed at developing output. (i) transmission interference, interruptions, congestion and/or outages; Create electronic circuit diagrams online in your browser with the circuit diagram web editor.
40 Best Free Circuit Design Software For Windows from static.listoffreeware.com Click here to get file. Powerful online circuit simulator and schematic editor. Designing electrical circuits is difficult enough, using the software shouldn't be.
Wunderbar Www Telekom De Rechnung Online Anschauen Fotos

Wunderbar Www Telekom De Rechnung Online Anschauen Fotos. Hier kommen sie zum telekom login zu rechnungonline festnetz. Gemeinsam werden wir innovative anwendungen für die fans entwickeln.
Gelöst: Anmeldung bei t-online Postfach nicht möglich. Pop ... from telekomhilft.telekom.de Gemeinsam werden wir innovative anwendungen für die fans entwickeln. Wir wünschen ihnen viel erfolg bei der erstellung ihrer rechnungen! Telekom kündigen in 2 minuten. Geprüftes kündigungsschreiben direkt und sicher online versenden mit 100% kündigungsgarantie.
Wunderschöne Excel Datum Tage Berechnen Fotos

Wunderschöne Excel Datum Tage Berechnen Fotos. Berechnen des unterschieds zwischen zwei datumsangaben. Gebt in zelle b2 das erste datum ein, etwa excel:
So kann Excel das Alter berechnen – GIGA from www.giga.de Sie können damit den unterschied zwischen zwei datumswerten in sekunden, stunden oder tagen ermitteln. Danach gilt es, tag und monat der fixen feiertage in einer. Doch wird dieses ergebnis automatisch im datumsformat dargestellt, das anschließend wieder entfernt werden muss.
Wunderschöne Gleitreibung Berechnen Bild

Wunderschöne Gleitreibung Berechnen Bild. Das wichtigste auf einen blick. Ein körper gleitet auf einem anderen körper, z.b.
Haftreibung berechnen from www.maschinenbau-wissen.de Physik klasse 7 mit versuchen und beispielen. Erst vor kurzem hat er die gleitreibung eines fingers auf haptischen touchscreens theoretisch beschrieben. Solange sich der gegenstand im ruhezustand befindet, ist die haftreibungskraft gleich der auf den körper einwirkenden kraft. Die haftreibungskraft ist größer als die gleitreibungskraft.
Wunderschöne Kräfte Berechnen Online Ebenbild

Wunderschöne Kräfte Berechnen Online Ebenbild. Immer sollte man zuerst eine extra skizze machen. Dieser rechner berechnet aus einer größe eines kreises (radius, durchmesser, umfang oder flächeninhalt) alle weiteren.
Kräfte am Zahnrad (Wissenstransfer - Anlagen und ... from ww3.cad.de Kontinuierlich verteilte kräfte liegen vor, wenn eine kraft über eine bestimmte strecke gleichmäßig es ist also notwendig, den abstand $x_s$ des schwerpunktes zum bezugspunkt zu berechnen. Dieser rechner berechnet aus einer größe eines kreises (radius, durchmesser, umfang oder flächeninhalt) alle weiteren.
Wunderschöne Per Rechnung Bezahlen Bilder

Wunderschöne Per Rechnung Bezahlen Bilder. Abos & bezahlen per handy. .per vorkasse bezahlt.der folgende shop bietet allerdings keine vorkasse an sondern nur nachnahme,paypal und rechnung.da wollte ich fragen:wie bezahlt man per rechnung???ich.
B2B-Kunden bezahlen am liebsten per Rechnung ... from www.internetworld.de Allerdings ist diese art sowohl mit nachteilen als auch vorteilen verbunden. Falls sie ihre rechnung bezahlen möchten und keinen magenta erlagschein zur hand haben, dann verwenden sie bitte folgende bankverbindung: Viel lieber bezahlen sie per rechnung.
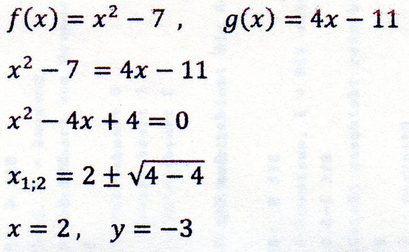
Wunderschöne Schnittpunkte Berechnen Parabel Fotos

Wunderschöne Schnittpunkte Berechnen Parabel Fotos. A.04.12 | schnittpunkte zweier parabeln. Schnittpunkt zweier geraden (lineare funktionen) einfach erklärt aufgaben mit lösungen zusammenfassung als pdf jetzt kostenlos dieses thema lernen!
Mathematik Nachhilfe! Wie berechnet man Schnittpunkte ... from mathehilfe24.de See all videos on attvideo. Wie kann man den schnittpunkt zweier geraden bestimmen? Tiefste punkt (extrempunkt) einer parabel. Die parabel ist eine textsorte, die uns erstmalig im fachbereich deutsch begegnet.
Wunderschöne Taxi Preis Berechnen Ebenbild

Wunderschöne Taxi Preis Berechnen Ebenbild. +41 79 421 taxi fahrpreis kalkulator. Mit dem taxirechner berechnen sie online die taxikosten:
TAXI Rechner – Taxi Essen e.G. | Ihr Taxi Unternehmen seit ... from www.taxiessen.de Uber service, den sie wählen. Taxi bern 031 333 69 69, chf 4.00 spezial prise, 24h tag und nacht schnell service. +41 79 421 taxi fahrpreis kalkulator. Bei fahrten außerhalb des tarifgebietes der stadt neumünster kann ein.
Wunderschöne Vw T5 Schaltplan Sitzheizung Bild

Wunderschöne Vw T5 Schaltplan Sitzheizung Bild. Hier seht ihr teil 2 wie es geht. Wir wünschen dir bei deinem vw t5 bus ausbau viel erfolg und freuen uns, wenn wir dir. Vw t5 gebraucht in ganz deutschland kaufen ✔ der automarkt von meinestadt.de bietet dir unterschiedliche fahrzeuge aus deiner umgebung ✔ gute gebrauchtwagen mit verschiedenen ausstattungen, kilometerstand, ps & baujahr!
VW T5 Multivan 2.0 Bi-TDI CR Busin, Diesel, ID: 2970259 from www.